• Предмет: Физика
  • Автор: xaxaxaxaxaxaxaxxax
  • Вопрос задан 7 лет назад

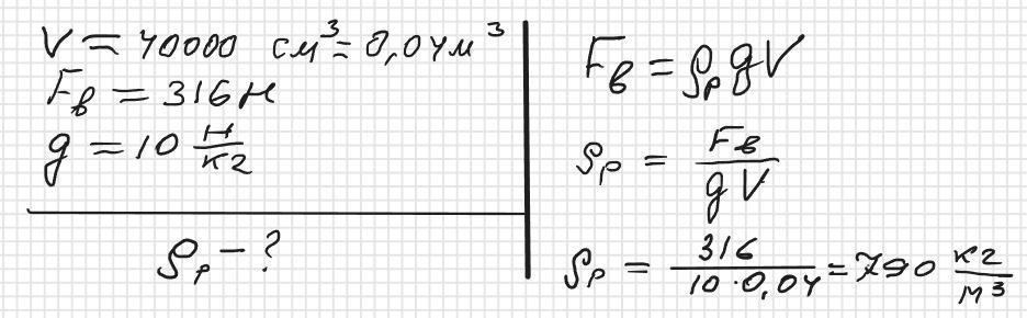
Експеримент показав, що на тіло об’ємом 40000 см3 діє виштовхувальна сила 316 Н. Обчисліть густину рідини, в яку повністю занурене тіло.
БУДЬ ЛАСКА, ДОПОМОЖІТЬ

Ответы

Ответ дал: zybkov1950
27

Ответ: 790 кг/м³

Объяснение: Див. додаток

Приложения:

xaxaxaxaxaxaxaxxax: Дякую!
millaemi87: Дякую ви найкращий(найкраща)
Вас заинтересует