Ответы
Ответ дал:
1
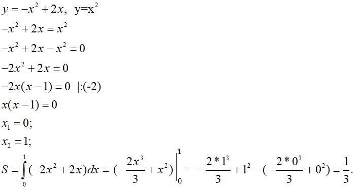
Дивіться фото.....................
Приложения:

sofiagolonko:
Дуже дякуююю
Вас заинтересует
2 года назад
2 года назад
2 года назад
8 лет назад
8 лет назад
9 лет назад