• Предмет: Математика
  • Автор: laki53271
  • Вопрос задан 7 лет назад

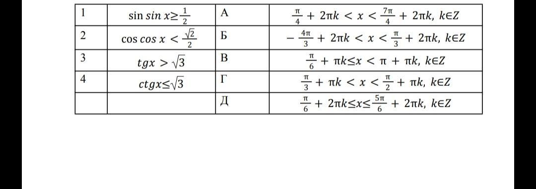
Тест....................

Приложения:

Ответы

Ответ дал: nefedovmisha19
0

.............. удачи не учил

Вас заинтересует