• Предмет: Физика
  • Автор: oleksandrkhyliak
  • Вопрос задан 7 лет назад

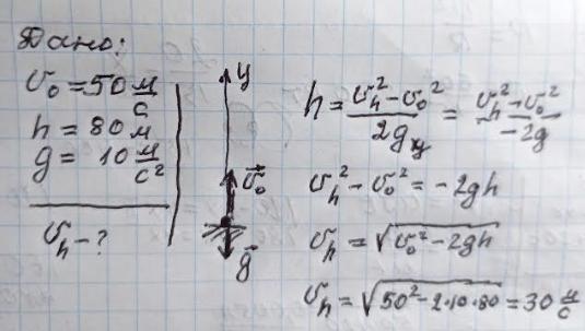
Стріла випущена вертикально вгору зі швидкістю 50 м/с.Яку швидкість буде мати на висоті 80 м ?

Ответы

Ответ дал: zybkov1950
0

Ответ: 30 м/с

Объяснение: Див. додаток

Приложения:
Вас заинтересует