• Предмет: Математика
  • Автор: rpastisok
  • Вопрос задан 7 лет назад

розв'яжи рівнняня

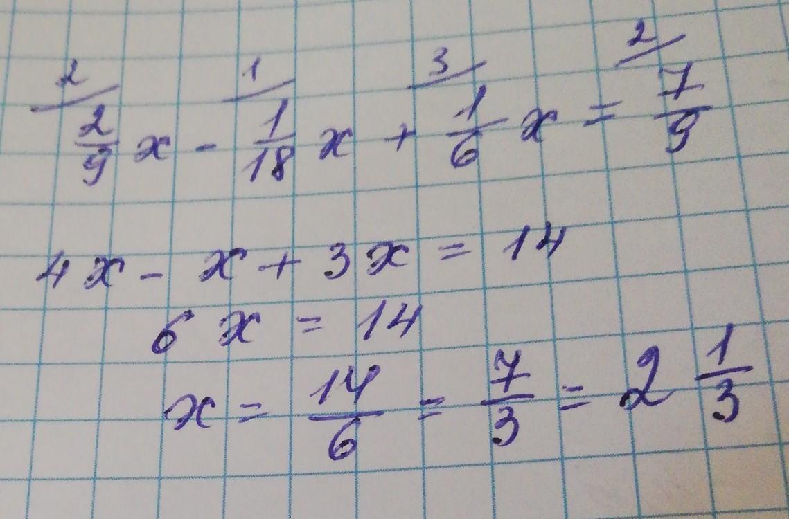
1)2/9x-1/18x+1/6x=7/9
срочно!!!!

Ответы

Ответ дал: larisaserova53
1

Ответ:

Смотри решение на фото..

Приложения:

rpastisok: Дякую
Вас заинтересует