• Предмет: Алгебра
  • Автор: antoxa1999
  • Вопрос задан 3 года назад

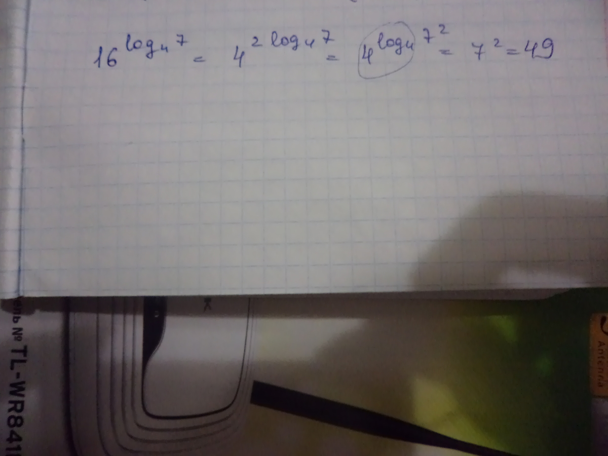
16 в степени log₄7
Помогите плз

Ответы

Ответ дал: Mydrый
2
решениеееееееееееееееееееееееееееееееее
Приложения:
Вас заинтересует