Ответы
Ответ дал:
0
Пошаговое объяснение:
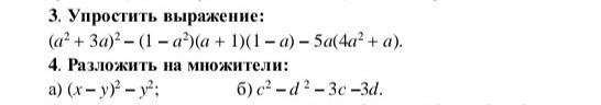
2а⁴-14а³+2а²-2а-1
...............
Приложения:

ananevavera2018:
спасибо большое!)
Ответ дал:
1
Вот заделайте мой ответ лучшим очень надо)
Приложения:

Вас заинтересует
2 года назад
2 года назад
2 года назад
8 лет назад
8 лет назад
9 лет назад