Ответы
Ответ дал:
1
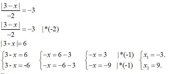
держи) ……………. надеюсь помогла
Приложения:

bebidzonmops7:
очень помогла спасибо
Ответ дал:
2
смотрите фото.............
Приложения:

Вас заинтересует
2 года назад
2 года назад
8 лет назад
8 лет назад