• Предмет: Геометрия
  • Автор: nePonyalYa
  • Вопрос задан 7 лет назад

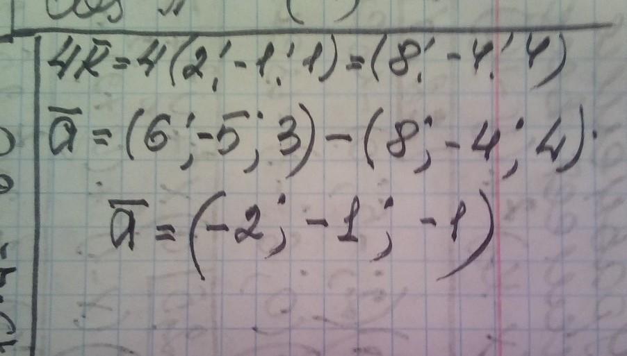
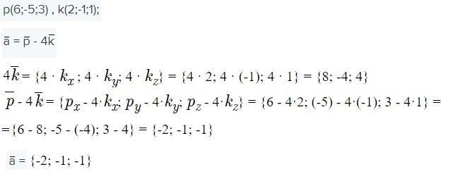
Знайдiть довжину вектора а = p - 4k , якщо p(6;-5;3) , k(2;-1;1);
(a,p,k - вектора)

Ответы

Ответ дал: manyny06
2

Ответ:

решение смотри на фотографии

Приложения:

Аноним: здравствуйте вы не могли бы мне помочь с геометрией пожалуйста
Ответ дал: yevheniiavz
5

дивіться фото........................

Приложения:

Аноним: здравствуйте вы не могли бы мне помочь с геометрией пожалуйста
Вас заинтересует