• Предмет: Алгебра
  • Автор: elena1898
  • Вопрос задан 7 лет назад

помогите пж сррчно очень надо пусть ответит главный мозг​

Приложения:

Ответы

Ответ дал: GilMika
1

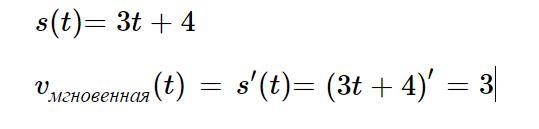
Мгновенная скорость - это первая производная пути по времени.

Ответ: 3

Приложения:
Вас заинтересует