• Предмет: Алгебра
  • Автор: sergofan111111
  • Вопрос задан 3 года назад

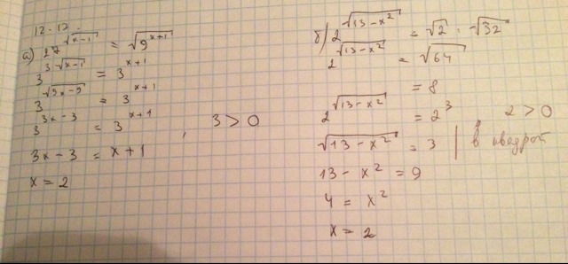
12 13 14 аб помогите пожалуйста очень надо:(((((

Приложения:

Ответы

Ответ дал: izabolotnyj
1
Вот 12.12. Остальные сейчас попробую
Приложения:

sergofan111111: спасибо а остальные сможешь помочь?
sergofan111111: ну что? никак?(((
Вас заинтересует