• Предмет: Алгебра
  • Автор: annagreshanuyk
  • Вопрос задан 7 лет назад

нужна помощь срочная​

Приложения:

Ответы

Ответ дал: mzyr657
1

Ответ:

я решила я решила я решила

Приложения:
Ответ дал: nafanya2014
0

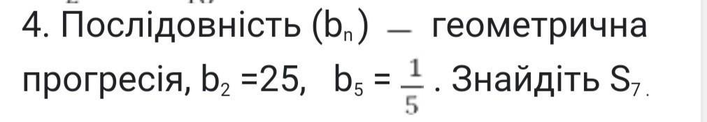
b_{n}=b_{1}\cdot q^{n-1}  -   формула n-го члена геометрической прогрессии

b_{2}=b_{1}\cdot q     ⇒      25=b_{1}\cdot q

b_{5}=b_{1}\cdot q^4     ⇒       \frac{1}{5} =b_{1}\cdot q^4

Решаем систему двух уравнений:

\left \{ {{25=b_{1}\cdot q} \atop {\frac{1}{5} =b_{1}\cdot q^4}} \right.

\left \{ {{b_{1}=\frac{25}{q}} \atop {\frac{1}{5} =\frac{25}{q}\cdot q^4}} \right.

\left \{ {{b_{1}=\frac{25}{q}} \atop {q^3=\frac{1}{125} }} \right.

\left \{ {{b_{1}=\frac{25}{\frac{1}{5}}} \atop {q=\frac{1}{5} }} \right.

\left \{ {{b_{1}=125} \atop {q=\frac{1}{5} }} \right.

По формуле:

S_{7}=\frac{b_{1}\cdot (1-q^{7})}{1-q}

S_{7}=\frac{125\cdot (1-(\frac{1}{5})^{7})}{1-\frac{1}{5}}

S_{7}=\frac{125-\frac{125}{5^7}}{\frac{4}{5}}

S_{7}=\frac{125\cdot 5-\frac{5^4}{5^7}}{4}

S_{7}=\frac{625-\frac{1}{125}}{4}

S_{7}=\frac{624\frac{124}{125}}{4}\\\\S_{7}=156\frac{31}{125}

2 способ.

Найти семь членов геометрической  прогрессии

a_{1}=125\\\\a_{2}=a_{1}\cdot \frac{1}{5}=125\cdot  \frac{1}{5}=25 \\\\a_{3}=a_{2}\cdot \frac{1}{5}=25\cdot \frac{1}{5}=5\\\\a_{4}=1\\\\a_{5}=\frac{1}{5}\\\\a_{6}=a_{5}\cdot  \frac{1}{5}=\frac{1}{5}\cdot \frac{1}{5}=\frac{1}{25}\\\\a_{7}=a_{6}\cdot \frac{1}{5}=\frac{1}{25}\cdot \frac{1}{5}=\frac{1}{125}

и сложить

S_{7}=125+25+5+1+\frac{1}{5}+\frac{1}{25}  +\frac{1}{125}=156\frac{31}{125}

О т в е т.     S_{7}=156\frac{31}{125}

Вас заинтересует