• Предмет: Математика
  • Автор: dupindima208
  • Вопрос задан 7 лет назад

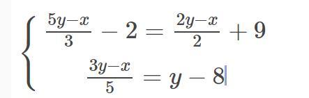
решить систему уравнений пж

Приложения:

Ответы

Ответ дал: Oleksandra01
1
Вот.Надеюсь что верно:)
Приложения:

dupindima208: спасибо вроде все правильно
Вас заинтересует