• Предмет: Математика
  • Автор: ssasasaasaasadda
  • Вопрос задан 7 лет назад

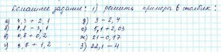
Помогите пожалуйста нужно решить 8 ПРИМЕРОВ ДАЮ 40 БАЛЛОВ

Приложения:

Ответы

Ответ дал: zhan1k3
1

Ответ:

1) 6,4

2)1,7

3)1

4)3,7+1,2=4,9

5)0,6

6)7,13

7)20,83

8)18,1

Ответ дал: Ellittta
0

А) 6,4

Б)1,7

В) 1.0 или просто 1

Г)4,9

Д) 0,6

Е)7,13

Ж) 20,83

З) 18,1

Вас заинтересует