Ответы
Ответ дал:
1
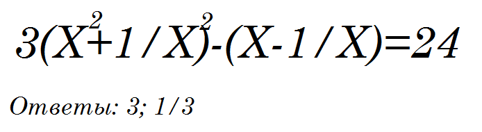
3(x^2 + 1/x^2) - (x + 1/x) = 24
Замена x + 1/x = y, тогда
y^2 = (x + 1/x)^2 = x^2 + 2*x*1/x + 1/x^2 = x^2 + 1/x^2 + 2
Подставляем
3(y^2 - 2) - y - 24 = 0
3y^2 - y - 30 = 0
(y + 3)(3y - 10) = 0
1) y = x + 1/x = -3
x^2 + 3x + 1 = 0
D= 9 - 4 = 5
x1 = (-3 -√5)/2, x2 = (-3 + √5)/2
2) y = x + 1/x = 10/3
3x^2 - 10x + 3 = 0
(x - 3)(3x - 1) = 0
x3 = 3, x4 = 1/3
Составители задачи потеряли 2 корня. x1 = (-3 -√5)/2, x2 = (-3 + √5)/2
Или надо как-то доказывать, что они не подходят. Хотя по уравнению они подходят.
Замена x + 1/x = y, тогда
y^2 = (x + 1/x)^2 = x^2 + 2*x*1/x + 1/x^2 = x^2 + 1/x^2 + 2
Подставляем
3(y^2 - 2) - y - 24 = 0
3y^2 - y - 30 = 0
(y + 3)(3y - 10) = 0
1) y = x + 1/x = -3
x^2 + 3x + 1 = 0
D= 9 - 4 = 5
x1 = (-3 -√5)/2, x2 = (-3 + √5)/2
2) y = x + 1/x = 10/3
3x^2 - 10x + 3 = 0
(x - 3)(3x - 1) = 0
x3 = 3, x4 = 1/3
Составители задачи потеряли 2 корня. x1 = (-3 -√5)/2, x2 = (-3 + √5)/2
Или надо как-то доказывать, что они не подходят. Хотя по уравнению они подходят.
Azbox:
Ой, простите, пожалуйста, это я с условиями перепутала! В второй скобке +
Изменил ответ, перепроверь.
Большое спасибо)
Вас заинтересует
2 года назад
2 года назад
2 года назад
2 года назад
7 лет назад