• Предмет: Алгебра
  • Автор: folzy133798
  • Вопрос задан 7 лет назад

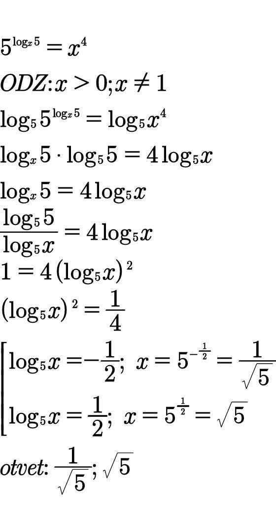
Уравнение с логарифмом в степени, не срочно

Если есть такая возможность, то распишите, пожалуйста, побольше

Приложения:

Ответы

Ответ дал: tamarabernukho
2

Ответ:

Объяснение:

.....................

Приложения:

folzy133798: Лучший, просто гипер спасибо
tamarabernukho: :)
Вас заинтересует