• Предмет: Алгебра
  • Автор: chelovek0861
  • Вопрос задан 7 лет назад

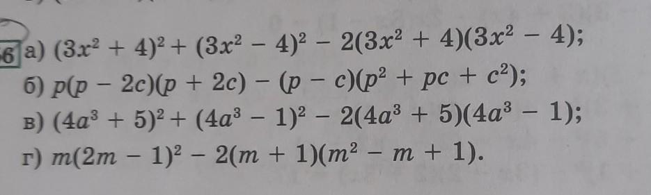
Помогите, пожалуйста преобразовать в многочлен стандартного вида​

Приложения:

Ответы

Ответ дал: Evil05
0

Ответ:

а) 9x⁴+24x²+16+9x⁴-24x²+16-18x⁴+32=64

б)p³-4c²p-p³-p²c-pc²+cp²+c²p+c³=-4c²p+c³

в)16a⁶+40a³+25+16a⁶-8a³+1-32a⁶+8a³-40a³+10=36

г)4m³-4m²+m-2m³-2= 2m³-4m²+m-2

Вас заинтересует