СРОЧНО!
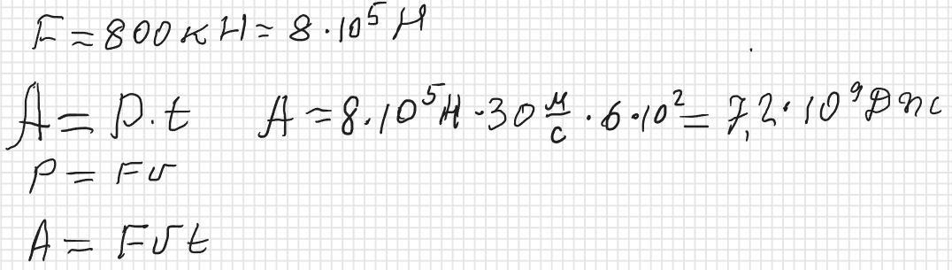
Потяг має швидкість 108 км год. Розвиває силу тяги 80 к т. Яку роботу він виконує протягом 10 хв
Приложения:

zybkov1950:
В умові 80, в зошиті 800?
Ответы
Ответ дал:
1
Ответ: 7,2 ГДж
Объяснение:Див. додаток
Приложения:

Вас заинтересует
2 года назад
2 года назад
2 года назад
8 лет назад
8 лет назад
9 лет назад