Если бы каждый из двух множителей увеличили на 2, их произведение увеличилось бы на 30. На сколько увеличится произведение этих множи- телей, если каждый из них увеличить на 4?
Ответы
Ответ дал:
0
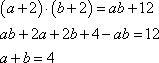
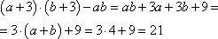
Ответ:Пусть первый сомножитель равен a, а второй b, их произведение равно ab. При увеличении этих сомножителей на 2 их произведение возрастает на 12, то есть:
Пошаговое объяснение:
Приложения:


Вас заинтересует
2 года назад
2 года назад
8 лет назад