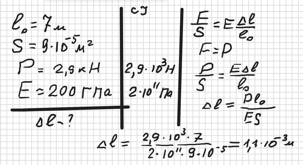
Чому дорівнює абсолкутне видовження стального стержня завдовжки 7 м і площею поперечного перерізу 9*10^-5 м під дією вантажу в 2,9кн?
Ответы
Ответ дал:
3
Ответ:
≈ 1 мм
Объяснение:
Е = 210 ГПа = 2,1 ·10¹¹ Па - модуль Юнга для стали
l = 7 м
А = 9·10⁻⁵ м²
F = 2.9 кН = 2 900 Н
------------------------------
Δl - ?
-------------------------------
Абсолютное удлинение стержня равно
loww6:
Здравствуйте!Помогите пожалуйста с физикой
Ответ дал:
4
Ответ: 1,1 мм
Объяснение: Див. додаток
Приложения:

Вас заинтересует
2 года назад
2 года назад
2 года назад
8 лет назад
9 лет назад