• Предмет: Алгебра
  • Автор: lclcdvda
  • Вопрос задан 7 лет назад

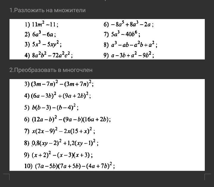
ПОМОГИТЕ СРОЧНО!!!!! МНЕ ОЧЕНЬ СРОЧНО НУЖНО!!! ДО ЗАВТРА!!! ЗАВТРА В 10 ОТНОСИТЬ​

Приложения:

Ответы

Ответ дал: amangeldyayanat5
0

Ответ:

1)11т-11=0т дальше не знаю

Вас заинтересует