Математика. Сдать нужно до конца 07.04.22 ()
Надеюсь на развернутый ответ.
Заранее спасибо!!!
Приложения:

Ответы
Ответ дал:
1
Ответ:
Пошаговое объяснение:
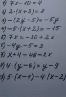
1)7x-10=4
7x=4+10
7x=14
x=2
2)2·(x+3)=8
x+3=4
x=4-3
x=1
3)-(2y-5)=-5y
-2y+5=-5y
-2y+5y=-5
3y=-5
y=-5/3 або y=-1,6
4)-5·(x+2)=-15
x+2=3
x=3-2
x=1
5)7x=-30+2x
7x-2x=-30
5x=-30
x=-6
6)-4y-5=3
-4y=3+5
-4y=8
y=-2
7)x+4=46-2x
x=2x=46-4
3x=42
x=14
8)4·(y-6)=y-9
4y-24=y-9
4y-y=-9+24
3y=15
y=5
9)5·(x-1)-4·(x-2)
5x-5-7x+14
-2x+9
Вас заинтересует
2 года назад
2 года назад
2 года назад
2 года назад
8 лет назад
9 лет назад