• Предмет: Математика
  • Автор: 4eburekek
  • Вопрос задан 7 лет назад

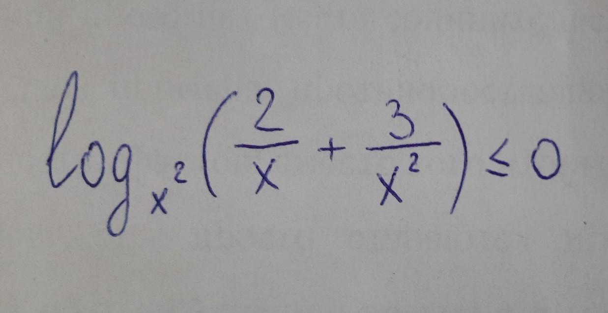
Решить неравенство. Ребят, спасайте!!!​

Приложения:

Ответы

Ответ дал: kurtisconner1
1

х E ( -3/2 , -1 ) u (-1,0 ) u ( 0,1) u [ 3, + 8)

Приложения:

4eburekek: Ответ верен, но желательно решение). Сейчас попробую методом рационализации решить)
4eburekek: Короче. Поговорил с умными людьми, мне сказали это реально рационализация))))
4eburekek: Советую изучить эту тему, особенно, если сдаете ЕГЭ профиль
Вас заинтересует