Ответы
Ответ дал:
0
Приводим к общему знаменателю и избавляемся от знаменателя
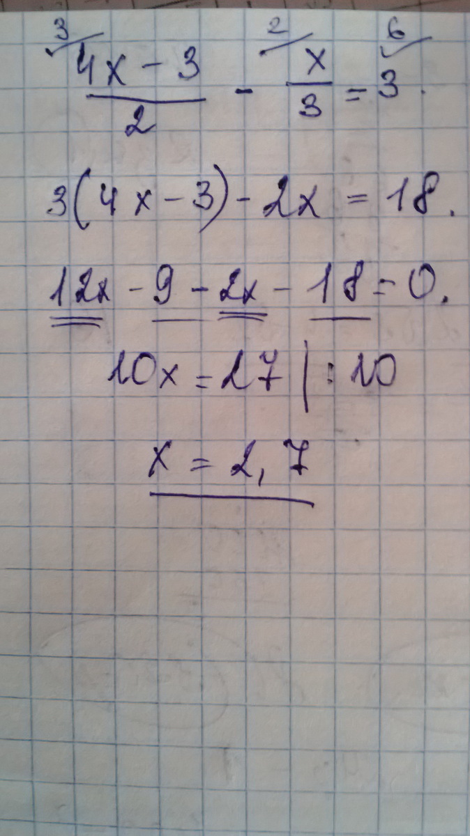
3(4х-3)-2х=18
12х-9-2х=18
10х=27
х=2,7
3(4х-3)-2х=18
12х-9-2х=18
10х=27
х=2,7
Ответ дал:
0
1) Приводишь общий знаменатель дроби. (3*2=6)
2) Умножаешь в числителе 3(4х-3)-2х=18(при этом знаменатель уже не пишешь)
3) Приведение подобных. 12х-9-2х-18=0, соответственно, из 12х-2х=10х, также из -9-18=27
4) С неизвестными влево, с известными вправо, получается 10х=27
5) Оставляем х влево, делим 27:10. И х=2,7
2) Умножаешь в числителе 3(4х-3)-2х=18(при этом знаменатель уже не пишешь)
3) Приведение подобных. 12х-9-2х-18=0, соответственно, из 12х-2х=10х, также из -9-18=27
4) С неизвестными влево, с известными вправо, получается 10х=27
5) Оставляем х влево, делим 27:10. И х=2,7
Приложения:

Вас заинтересует
2 года назад
2 года назад
2 года назад
7 лет назад
7 лет назад