• Предмет: Алгебра
  • Автор: tchebotaryowat8931
  • Вопрос задан 7 лет назад

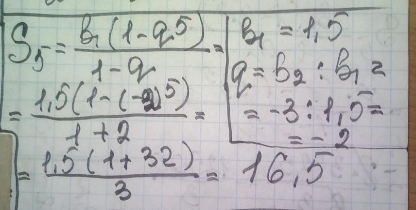
Знайдіть суму перших п'яти членів геометричної прогресії 1,5; -3...

Ответы

Ответ дал: manyny06
0

Ответ:

решение смотри на фотографии

н

Приложения:
Вас заинтересует