• Предмет: Алгебра
  • Автор: Kiryakkk
  • Вопрос задан 3 года назад

решите пожалуйста
857 и 860

Приложения:

Ответы

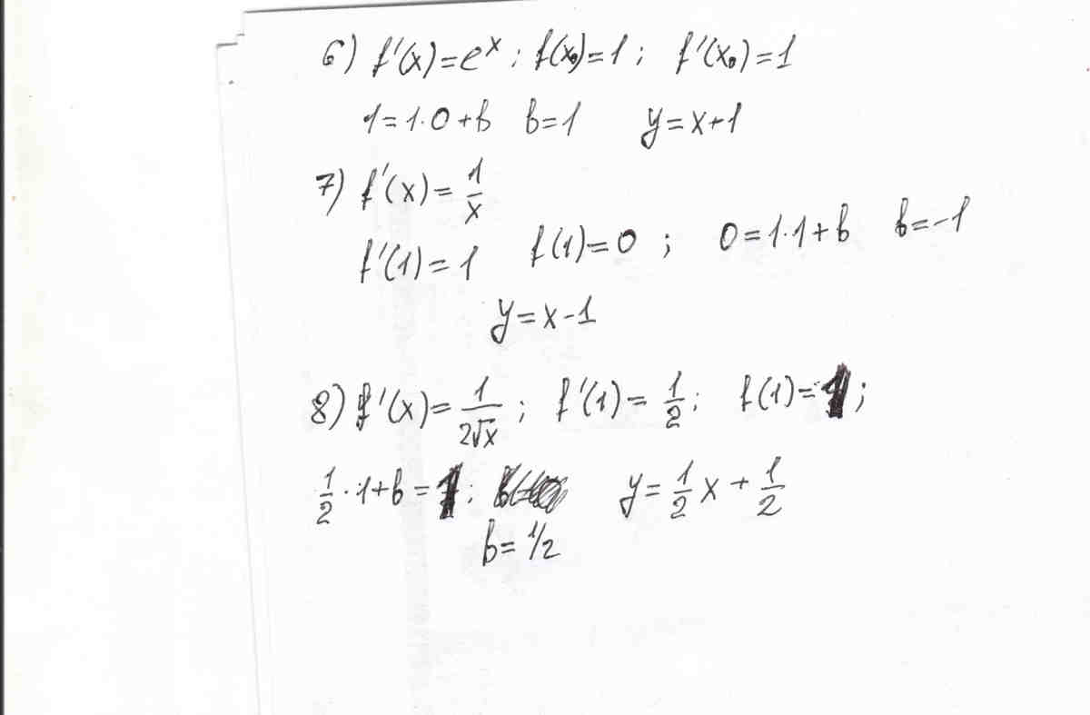
Ответ дал: Аноним
0
решение в приложении...................................
Приложения:
Вас заинтересует