• Предмет: Алгебра
  • Автор: karimovrinat125
  • Вопрос задан 7 лет назад

Помтгите решить с обьяснениями​

Приложения:

Ответы

Ответ дал: Ляляляля109
0

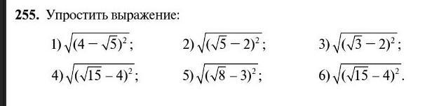
1)

 \sqrt{ {(4 -  \sqrt{5}) }^{2} }  = 4 -  \sqrt{5}

2)

 \sqrt{ {( \sqrt{5}  - 2)}^{2} }  =  \sqrt{5}  - 2

3)

 \sqrt{ {( \sqrt{3}  - 2)}^{2} }  =  \sqrt{3}  - 2

4)

 \sqrt{ {( \sqrt{15}  - 4)}^{2} }  =  \sqrt{15}  - 4

5)

 \sqrt{ {( \sqrt{8} - 3) }^{2} }  =  \sqrt{8}  - 3 = 2 \sqrt{2}  - 3

6)

 \sqrt{ {( \sqrt{15}  - 4)}^{2} }  =  \sqrt{15}  - 4

Правило:

 \sqrt{ {a}^{2} }  = a

Вас заинтересует