• Предмет: Алгебра
  • Автор: dianalukianets
  • Вопрос задан 7 лет назад

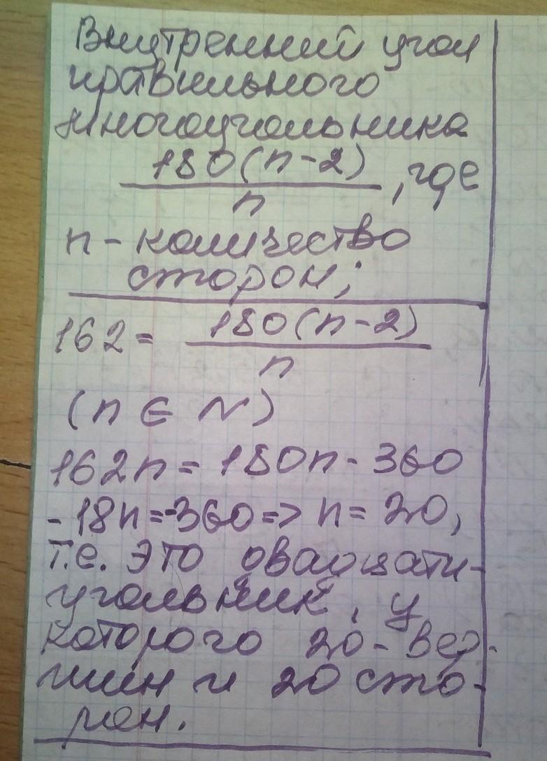
знайдіть кількість вершин правильного многокутника внутрішній кут якого дорівнює 162°​

Ответы

Ответ дал: manyny06
1

Ответ:

решение смотри на фотографии

Приложения:
Вас заинтересует