• Предмет: Алгебра
  • Автор: NININIka2323
  • Вопрос задан 7 лет назад

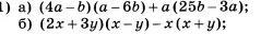
Упростите выражения.

Приложения:

Ответы

Ответ дал: kateIIImathematics
0

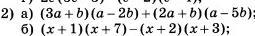
Ответ:

Решение на фото.

Объяснение:

Два других задания попробуйте сделать самостятельно.

Приложения:
Вас заинтересует