• Предмет: Математика
  • Автор: makslolololotrek
  • Вопрос задан 7 лет назад

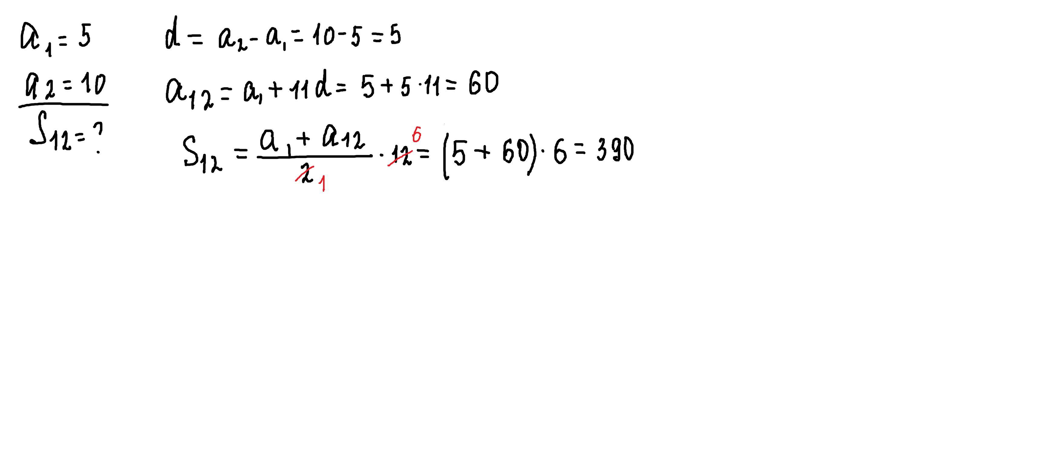
знайдіть суму 12 перших членів арифметичної прогресії якщо А1=5,а2=10​

Ответы

Ответ дал: parus77
0

Ответ:

S12=390

Пошаговое объяснение:

решение внизу

Приложения:
Вас заинтересует