• Предмет: Алгебра
  • Автор: olesualyulko
  • Вопрос задан 7 лет назад

способом розкладання на множники розв'яжітт рівняння Х2+7Х+12=0 та Х2-12Х+36=0
напишіть на зошиті пліз​, срочно!

Ответы

Ответ дал: manyny06
1

Ответ:

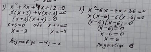
решение смотри на фотографии

Приложения:

Аноним: ЗДРАВСТВУЙТЕ ВЫ НЕ МОГЛИ БЫ МНЕ ПОМОЧЬ С АЛГЕБРОЙ ПОЖАЛУЙСТА УМОЛЯЮ
Ответ дал: zybkov1950
1

Ответ: Див. додаток

Объяснение: Див. додаток

Приложения:

Аноним: ЗДРАВСТВУЙТЕ ВЫ НЕ МОГЛИ БЫ МНЕ ПОМОЧЬ С АЛГЕБРОЙ ПОЖАЛУЙСТА УМОЛЯЮ
Вас заинтересует