• Предмет: Математика
  • Автор: zxckors
  • Вопрос задан 7 лет назад

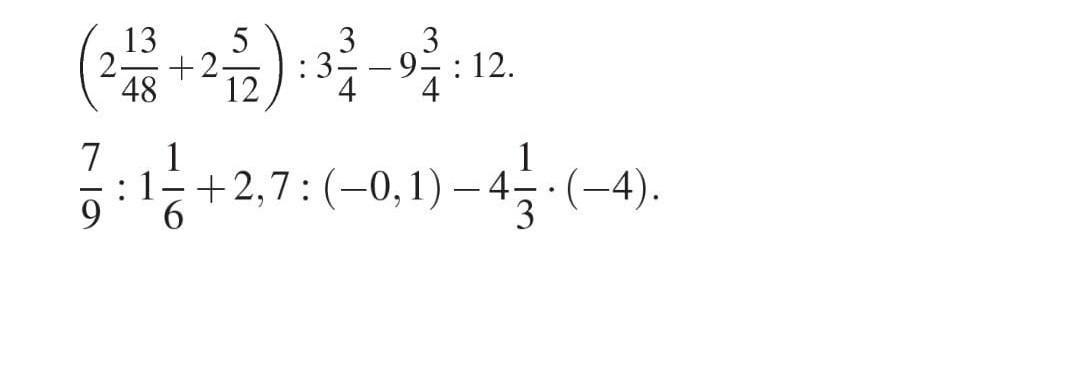
помогите пж, 6 класс математика ​

Приложения:

Ответы

Ответ дал: metallistka123
0
в первом примере 7/16
во втором -9
Ответ дал: nesetnaakata8
0

Ответ:

1) 7/16

2) -9

Пошаговое объяснение:

1) ((2+2)+13/48+5/12)):15/4-39/4×1/12

( 4+11/16)×4/15-13/4×1/4

4 11/16 ×4/15-13/16

5/4-13/16

2) 7/9:7/6 + 27/10:(-1/10)-13/3×(-4)

7/9×6/7-27/10×10+52/3

1/3×2-27+52/3

2/3-27+52/3

Вас заинтересует