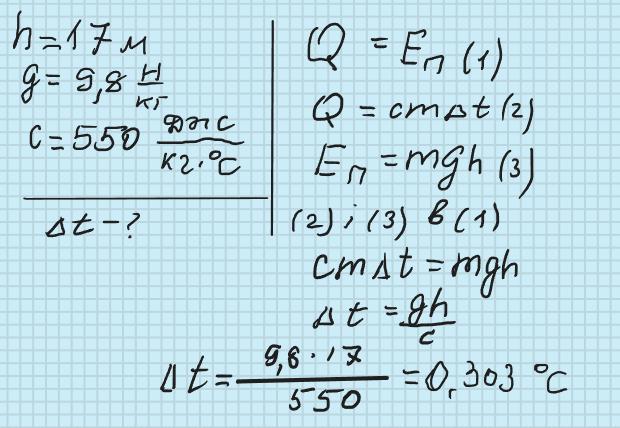
на скільки градусів нагріется деталь з чавуна , якщо вона впадає з висоти 17м. на землю. вважажмо , що вся квнетична енергія чавуна переходить у внутрішню енергію . питлма теплоємнвсть чавуна рівна 550дж/(кг к) g=9,8h/кг
Ответы
Ответ дал:
1
Ответ: 0,303 ⁰С
Объяснение: Див. додаток
Приложения:
Вас заинтересует
2 года назад
2 года назад
3 года назад
3 года назад
8 лет назад
8 лет назад
10 лет назад