• Предмет: Алгебра
  • Автор: gulcehra511
  • Вопрос задан 7 лет назад

7-8 класс Алгебра спасибо заранье!

Приложения:

Ответы

Ответ дал: dianessa56
1

Ответ:

Объяснение:

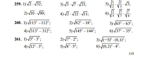
259

1)√2·√32=√64=8

2)√10·√90=√900=30

3)√3·√7·√21=√441=21

4)√2·√22√11=√484=22

5)√\frac{1}{2}·√\frac{2}{3}·√3=\sqrt{\frac{1}{2}*\frac{2}{3}*3  }=√1=1

6)√\frac{2}{5}·√\frac{5}{7}·√\frac{7}{8}=\sqrt{\frac{2}{5}*\frac{5}{7}*\frac{7}{8}   }=\sqrt{\frac{1}{2} }=\frac{1}{2}

260

1)=\sqrt{(113-112)*(113=112)}=\sqrt{1*225}=\sqrt{225}=15

2)=\sqrt{(82-18)*(82+18)}=\sqrt{64*100}=8·10=80

3)=\sqrt{(65-63)*(65+63)}=\sqrt{2*128}=\sqrt{256}=16

4)=\sqrt{(313-312)*(313+312)}=\sqrt{1*625}=\sqrt{625}=25

5)=\sqrt{(145-144)*(145+144)}=\sqrt{1*289}=\sqrt{289}=17

6)=\sqrt{(37-35)*(37+35)}=\sqrt{2*72}=\sqrt{144}=12

261

1)=5²·3=25·3=75

2)=7²·2³=49·8=392

3)=5³·0,1=125·0,1=12,5

4)=12·3³=12·9=108

5)=8·5²=8·25=200

6)=0,2·4=0,8


gulcehra511: Спасибо огромное!
Вас заинтересует