Ответы
Ответ дал:
1
Ответ:
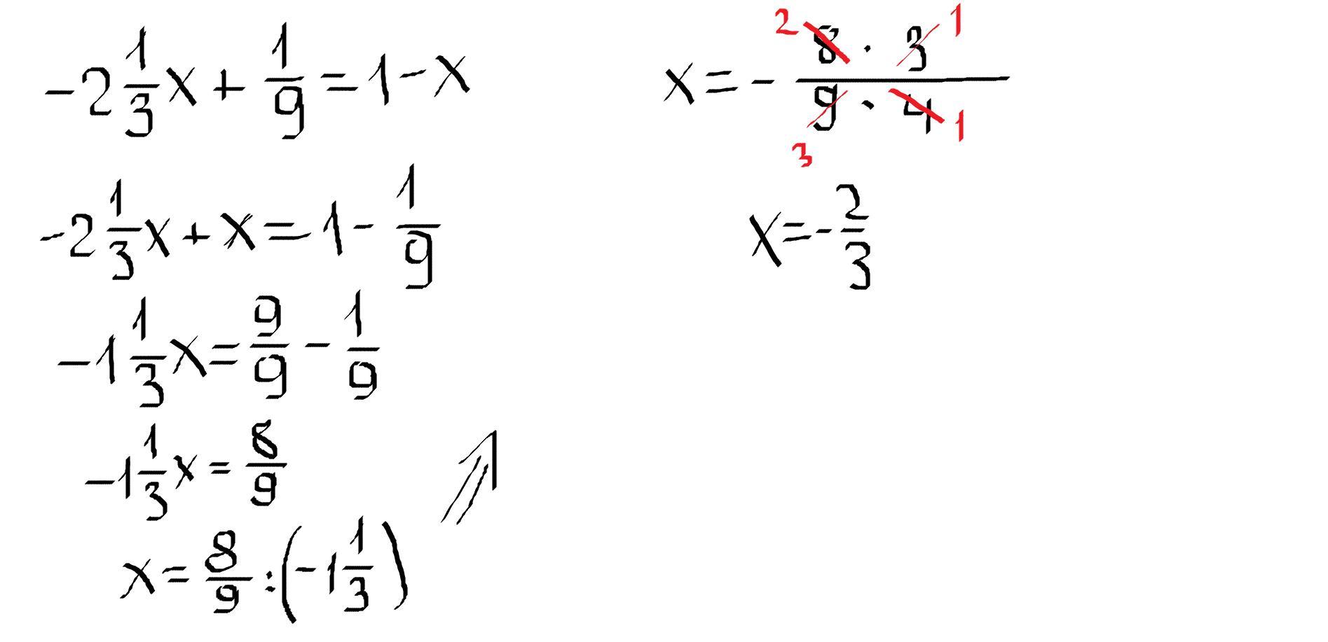
-2 1/3х+1/9=1-х
-2 1/3х+х=1-1/9
-1 1/3х=8/9
-4/3х=8/9
х=8/9÷(-4/3)=8/9*(-3/4)
х=-2/3
Пошаговое объяснение:
Ответ дал:
1
Ответ: х=-2/3
Пошаговое объяснение: на фото↓↓↓
отметь как лучший!!!
Приложения:

MainBrain123:
здравствуйте, пожалуйста, помогите мне с вопросом (в моем профиле)!
Вас заинтересует
2 года назад
2 года назад
2 года назад
8 лет назад
9 лет назад
9 лет назад