• Предмет: Алгебра
  • Автор: nickie1bh
  • Вопрос задан 7 лет назад

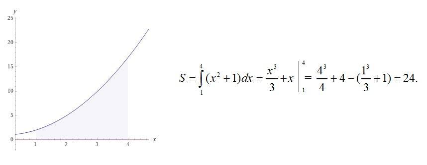
Обчисліть площу криволінійної трапеції, обмеженої графіком функції
у = x²+1 та прямими у =0; х=1; х=4.

Ответы

Ответ дал: yevheniiavz
2

дивіться фото..................

Приложения:
Ответ дал: Аноним
0

Ответ:

24

Объяснение:

у=0- уравнение оси ох, у=х²+1- уравнение квадратичной функции, график ее  парабола. а т.к. заданы пределы интегрирования х=1 и х=4, то площадь криволинейной трапеции найдем, вычислив определенный интеграл от ( x²+1 -0), первообразная равна х³/3+х, подставляя в формулу Ньютона-Лейбница пределы интегрирования, получим (4³/3+4)-(1³/3+1)=64/3-1/3+4-1=21+3=24

Вас заинтересует