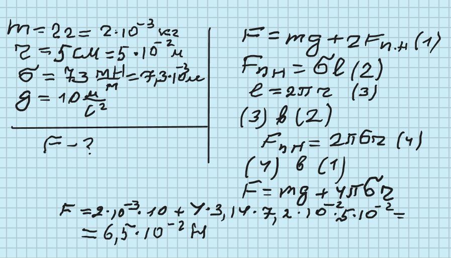
Горизонтальне дротяне кільце масою 2 г і радіусом 5 см торкається поверхні води. Яку силу потрібно прикласти для нього, щоб відірвати від води? Коефіцієнт поверхневого натягу води становить 73 мН/м. Вода змочує дріт.
IUV:
знайди довжину кільця. помнож на Коефіцієнт поверхневого натягу води. помнож на 2 тому що поверхневий натяг води утримує кільце з двох сторін - зовні та з середини кільця. тепер порахуй та додай до попередніх розрахунків вагу кільця. все.
Ответы
Ответ дал:
2
Ответ: 65 мН
Объяснение:
Приложения:

Вас заинтересует
2 года назад
2 года назад
8 лет назад
8 лет назад
9 лет назад