• Предмет: Физика
  • Автор: volodaybill
  • Вопрос задан 7 лет назад

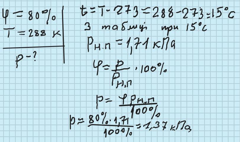
Відносна вологість повітря в кімнаті дорівнює 80%. Температура повітря 288К.
Визначте парціальний тиск водяної пари при даній температурі.

Ответы

Ответ дал: zybkov1950
3

Ответ: 1,37 кПа

Объяснение:

Приложения:
Вас заинтересует