• Предмет: Математика
  • Автор: kokskrytayatema
  • Вопрос задан 7 лет назад

70 баллов, решите плиз. по действиям

Приложения:

Ответы

Ответ дал: ZoXeN
1

1)
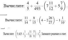
\frac{4}{5}+\frac{4}{493}*(7\frac{11}{12} +5\frac{7}{9} )
\frac{4}{5}+\frac{4}{493}*((7+5)+(\frac{11}{12}+\frac{7}{9}))
\frac{4}{5}+\frac{4}{493} *(12+\frac{61}{36} )
\frac{4}{5}+\frac{4}{493} *(12+1+\frac{25}{36} )
\frac{4}{5}+\frac{4}{493} *13\frac{25}{36}
\frac{4}{5}+\frac{4}{493} *\frac{493}{36}=\frac{41}{45}
2)
\frac{11}{14} +\frac{8}{15} :(4-2\frac{26}{27} )-1\frac{1}{10}
\frac{11}{14} +\frac{8}{15} :(4-2\frac{26}{27} )-\frac{11}{10}
\frac{11}{14} +\frac{8}{15} :\frac{28}{27}-\frac{11}{10}
\frac{11}{14} +\frac{8}{15} *\frac{27}{28}-\frac{11}{10}
\frac{11}{14} +\frac{2}{5} *\frac{9}{7}-\frac{11}{10}
\frac{11}{14} +\frac{18}{35}-\frac{11}{10}=\frac{55+36-77}{70}=\frac{1}{5}
3)
(5,625*1\frac{1}{3} -3\frac{11}{18} -\frac{5}{9}):1\frac{2}{3}
(\frac{45}{8} *\frac{4}{3} -\frac{65}{18} -\frac{5}{9} ):\frac{5}{3}
(\frac{15}{2} -\frac{65}{18} -\frac{5}{9} )*\frac{3}{5}
\frac{10}{3} *\frac{3}{5}
10*\frac{1}{5} =2

Вас заинтересует