• Предмет: Алгебра
  • Автор: medvedevartem987
  • Вопрос задан 7 лет назад

СРОЧНО ПОМОГИТЕ ДАЮ 50 БАЛЛОВ​

Приложения:

Ответы

Ответ дал: kusainovzandos2
0

Ответ:

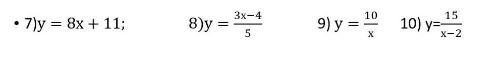
7)

у-х=8+11

у-х=19

Возможно не правильно, хз.

Вас заинтересует