• Предмет: Геометрия
  • Автор: Chaevar
  • Вопрос задан 7 лет назад

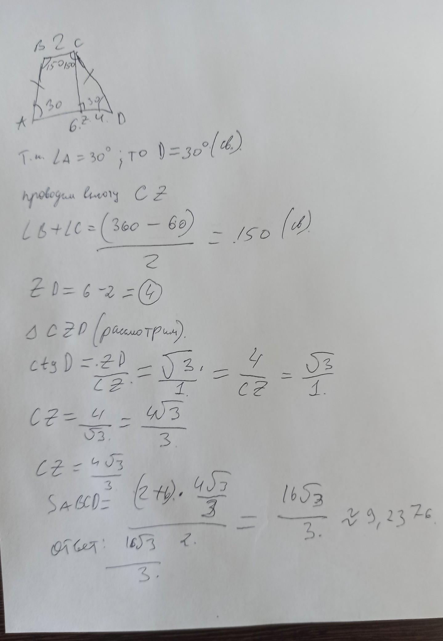
найдите площадь равнобедренной трапеции

Приложения:

Ответы

Ответ дал: yaiz1534
1

Объяснение:

тут все есть,решение с помощью тригонометрических функций)

Приложения:

yaiz1534: куда тебе отправить?
yaiz1534: а ну ща отредактирую
yaiz1534: сфоткал
Chaevar: в вк можно
yaiz1534: кидай ВК
Chaevar: или в дс
yaiz1534: кидай дс
yaiz1534: давай дс
Chaevar: Chaevar#5087
yaiz1534: отправил др
Вас заинтересует