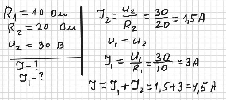
Два опори 10 Ом і 20 Ом з’єднані паралельно. Знайти загальний струм у колі і силу струму,
що проходить через перший опір, якщо напруга на другому опорі 30В.
Ответы
Ответ дал:
1
Ответ: 4,5 А 3 А
Объяснение:
Приложения:

bekon2552:
пажалуста помогите мне
Вас заинтересует
2 года назад
2 года назад
2 года назад
8 лет назад
8 лет назад
9 лет назад