• Предмет: Математика
  • Автор: lenkinai757
  • Вопрос задан 7 лет назад

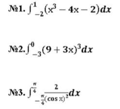
Вычислить интегралы:

Приложения:

Ответы

Ответ дал: roskisvira
0

Ответ:

1)-15\4

2)2187\4

3)4

Пошаговое объяснение:

...........................

Вас заинтересует