• Предмет: Математика
  • Автор: Катя9851щ
  • Вопрос задан 7 лет назад

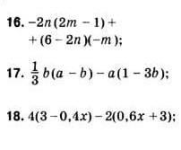
помогите пожалуйста
упростить​

Приложения:

Ответы

Ответ дал: ДайДомашку123
0

Ответ:

Пошаговое объяснение:

16. -2n(2m-1)+(6-2n)(-m)= -4mn+2n-6m+2nm=-2mn+2n-6m

17. \frac{1}{3}b(a-b)-a(1-3b)=\frac{1}{3}ab-\frac{1}{3}b^{2}-a+3ab=3\frac{1}{3}ab-\frac{1}{3}b^{2}-a

18. 4(3-0.4x)-2(0.6x+3)=12-1.6x-1.2x-6=6-2.8x

Ответ дал: iramazurk
0

Ответ:

Пошаговое объяснение:

№16

-4mn + 2n - 6m + 2mn = - 2mn - 6m + 2n

№17

1/3ab - 1/3b² - a + 3ab = 3. 1/3ab - 1/3b² - a

№18

12 - 1,6х - 1,2х - 6 = -2,8х + 6

Вас заинтересует