• Предмет: Алгебра
  • Автор: vladaboitsova
  • Вопрос задан 7 лет назад

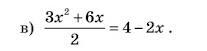
розв’яжіть рівняння: фото ниже

Приложения:

Ответы

Ответ дал: MuhammadGulu
0

Объяснение:

3x²+6x/2=4-2x

3x²+6x=(4-2x)•2

3x²+6x=8-4x

3x²+6x+4x-8=0

3x²+10x-8=0

D=b²-4ac=10²-4•3•(-8)=100+96=196

x1x2=-b±√D/2a=-10±√196/2•3=-10±14/6=-4;2/3

Ответ: -4 ; 2/3

Ответ дал: Universalka
0

\displaystyle\bf\\\frac{3x^{2} +6x}{2} =4-2x\\\\\\\frac{3x^{2} +6x}{2} \cdot 2=(4-2x)\cdot 2\\\\\\3x^{2} +6x=8-4x\\\\\\3x^{2} +6x-8+4x=0\\\\\\3x^{2} +10x-8=0\\\\\\D=10^{2} -4\cdot 3\cdot (-8)=100+96=196=14^{2} \\\\\\x_{1} =\frac{-10-14}{6} =\frac{-24}{6} =-4\\\\\\x_{2}=\frac{-10+14}{6} =\frac{4}{6}=\frac{2}{3} \\\\\\Otvet: \ -4 \ ; \ \frac{2}{3}

Вас заинтересует