• Предмет: Физика
  • Автор: gayjdukandrei2006
  • Вопрос задан 7 лет назад

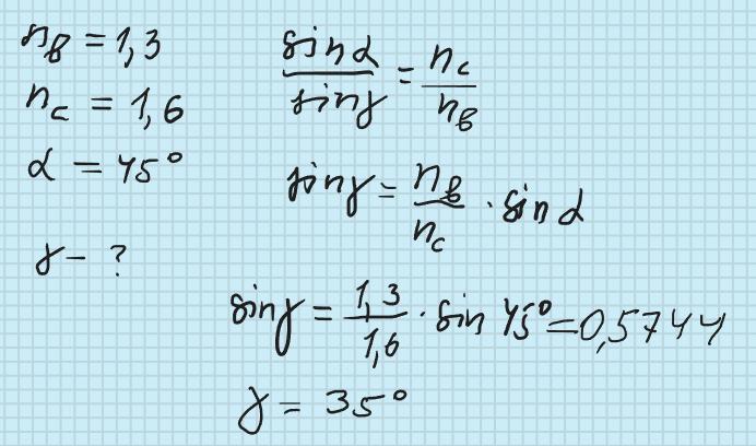
Промінь світла переходить з води у скло. Кут падіння дорівнює 45⸰ . знайти кут заломлення.

Ответы

Ответ дал: zybkov1950
0

Ответ: 35⁰

Объяснение:

Приложения:
Вас заинтересует