• Предмет: Физика
  • Автор: Annn1333
  • Вопрос задан 7 лет назад

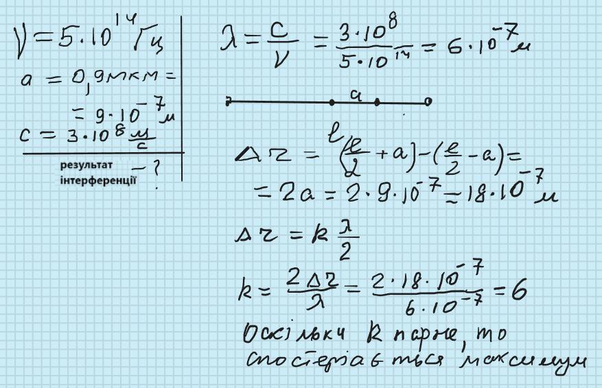
Точка А розташована на відрізку, що з’єднує два когерентні джерела світла з частотою 5·1014 Гц. Який результат інтерференції спостерігатиметься в точці А, якщо в центрі відрізка спостерігається максимум і відстань від точки А до середини відрізка дорівнює 0,9 мкм.

Ответы

Ответ дал: zybkov1950
1

Ответ: спостерігається максимум

Объяснение:

Приложения:
Вас заинтересует