• Предмет: Алгебра
  • Автор: anton6sguad
  • Вопрос задан 7 лет назад

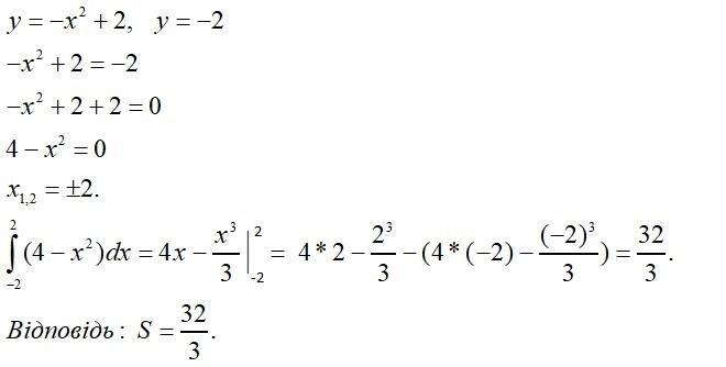
Знайдіть площу фігури, обмеженої лініями: y= -x^2+2, y= -2

Ответы

Ответ дал: yevheniiavz
1

Дивіться фото.................

Приложения:
Вас заинтересует