Ответы
Ответ дал:
0
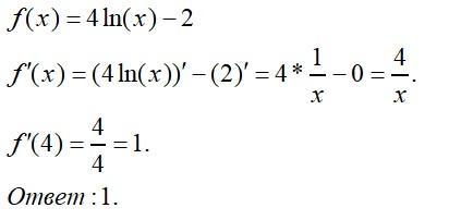
смотрите фото......................
Приложения:

Вас заинтересует
2 года назад
2 года назад
8 лет назад