Ответы
Ответ дал:
0
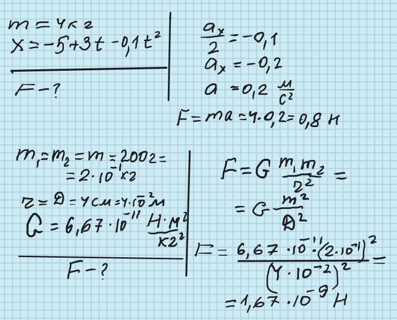
Ответ: 245 Н 0,8 Н 1,67 нН
Объяснение:
Приложения:


Вас заинтересует
2 года назад
2 года назад
2 года назад
2 года назад
8 лет назад
9 лет назад
9 лет назад